While discussing electrostatic phenomenon, a certain property of the medium called permittivity plays an important role. In fact, permittivity is the property of a medium that affects the magnitude of force exerted between two point charges. The greater the permittivity of a medium placed between the charged bodies, the lesser the force between them.
The absolute (or actual) permittivity of air or vacuum ε0 (Greek letter epsilon) is minimum and its value is 8.854 × 10−12 F/m. The value of absolute (or actual) permittivity ε of all other insulating materials is more than ε0 and the ratio between ε and ε0 is called the relative permittivity of that material and is denoted by εr .
Therefore,

where ε = absolute (or actual) permittivity of material;
ε0 = absolute (or actual) permittivity of air or vacuum (i.e., 8.854 × 10−12 F/m);
εr = relative permittivity of material;
Obviously, the relative permittivity of air, ![]()
Example 3.1
If 108 electrons are added to a body, determine the charge on the body .
Solution:
Charge on the body, Q = ne,
where
n = 108
and
e = 1.6 × 10−19 C
Q = 108 × 1.6 × 10−19 = 1.6 × 10−11 C
How many electrons are shifted to charge a body to 5 C?
Solution:
Q = ne
or

Example 3.3
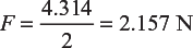
One-coulomb point charge is placed at a distance of 1 m from an equal but opposite charge in air. Find the force acting on the charge and whether it is a force of attraction or repulsion?
Solution:
Here, Q = 1 C, Q2 = −1 C, and d = 1 m

The negative sign indicates that it is a force of attractor.
Example 3.4
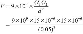
Find the force of interaction between two charges spaced 10 cm apart in a vacuum. The charges are 8 × 10−8 and 6 × 10−5 coulomb, respectively. If the same charges are separated by the same distance in kerosene ( εr = 2), what is the corresponding force of interaction?
Solution:
Charge Q1 = 8 × 10−8 C; charge Q2 = 6 × 10−5 C
Distance between the two, d = 10 cm = 0.1 m
Electrostatic force 
When charges are placed in vacuum, ε r = 1
∴

When charges are placed in kerosene, ε r = 2

Example 3.5
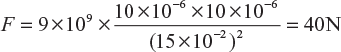
A small sphere is given a charge of 40 µC and a second sphere of equal diameter is given a charge of −10 µC. The two spheres are allowed to touch each other and they are spaced 5 cm apart. What force exists between them? Here, air is assumed as the medium.
Solution:
Charge on one sphere, Q1 = 40 µC; charge on second sphere, Q2 = −10 µC
When the two sphere are connected together, the total charge on the two spheres can be given as
Q1 + Q2 = 40 + (−10) = 30 µC
When they are separated, charge of each sphere is ![]()
Therefore, force between the two,

= 810 N repulsive
Example 3.6
Determine the force of attraction between the electron and nucleus of the hydrogen atom, which are spaced 5.28 × 10−11 m apart. The hydrogen atom possesses one electron and the nucleus has a charge equal but opposite in sign to that of the electron. The charge on the electron is 1.603 × 10−19 C.
Solution:
Charges on an electron, Q1 = 1.603 × 10−19 C (negative)
Charges on the nucleus, Q2 = 1.603 × 10−19 C (positive)
Distance between the two, d = 5.28 × 10−11 m
Force of attraction between the electron and the nucleus,

= 8.284 N
Example 3.7
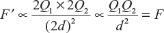
If the magnitude of two charges is doubled and the distance between them is also doubled, what will the effect on the force acting on them?
Solution:
We know ![]()
where
= 2 Q;
= 2 Q2
and
d‘ = 2d
Therefore,

Hence, force acting on them remains the same.
Example 3.8
Three point charges, each of +10 C, are placed at the vertices of an equilateral triangle that has sides 15 cm long. Find the force on each charge.

Fig. 3.2 Charges located at the vertices of an equilateral triangle
Three charges, each of 10 µC, placed at the vertices of an equilateral triangle are shown in Figure 3.2. Consider the charge placed at corner B. It is being repelled by charges placed at A and C along ABD and CBE, respectively. These two forces are equal in magnitude and are given as

Angle between the two forces = 60°
Therefore, resultant force = 2 Fcos 30°

The force acting on the other two charges placed at the corners A and C will also be the same.

Leave a Reply