Electric flux through an area is defined as the number of electric lines of force passing perpendicularly through that area. It is a scalar quantity and is denoted by Ψ.

Fig. 3.12 Electric flux through an area
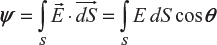
Consider an area S placed in an electric field
and
is a small area vector element, then small flux ( d Ψ ) passing through small area ( dS) is given by

where θ is angle between
and ![]()
When θ = 0°, that is,
||
, flux will be maximum and
when θ = 90°, that is,
⊥
, then the flux will be zero.
To find total flux through the whole closed surface S, we integrate Equations (3.8) or (3.9) as

The SI unit of electric flux is Nm2C−1 or JmC−1. Electric flux is a scalar quantity as it is dot product of two vector quantities
and ![]()

Leave a Reply