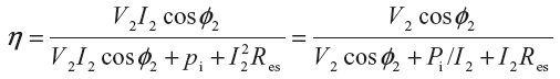
The efficiency of a transformer is defined as the ratio of output to the input power, the two being measured in same units (either in watts or in kW).
Transformer efficiency, 
or

Where V2 = Secondary terminal voltage
I2 = Full-load secondary current
cos ɸ2 = p.f. of the load
Pi = lron losses = Hysteresis losses + eddy current losses (constant losses)
Pc = Full-load copper losses = I22Res (variable losses)
If x is the fraction of the full load, the efficiency of the transformer at this fraction is given by the relation

The copper losses vary as the square of the fraction of the load.
10.21 CONDITION FOR MAXIMUM EFFICIENCY
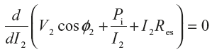
The efficiency of a transformer at a given load and p.f. is expressed by the relation

The terminal voltage V2 is approximately constant. Thus, for a given p.f., efficiency depends upon the load current I2. In expression (i), the numerator is constant and the efficiency will be maximum, if denominator is minimum. Thus, the maximum condition is obtained by differentiating the quantity in the denominator with respect to the variables I2 and equating that to zero, that is,

or

that is,
Copper losses = iron losses
Thus, the efficiency of a transformer will be maximum when copper (or variable) losses are equal to iron (or constant) losses.
∴

From equation (ii), the value of output current I2 at which the efficiency of the transformer will be maximum is given by

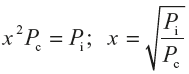
If x is the fraction of full-load kVA at which the efficiency of the transformer is maximum.
Then, copper losses = x2Pc (where Pc is the full-load Cu losses)
Iron losses = Pi
For maximum efficiency, 
∴ Output kVA corresponding to maximum efficiency
= x × full-load kVA = full-load kVA × 

Example 10.24
The primary and secondary windings of a 500 kVA transformer have resistance of 0.42 Ω and 0.0011 Ω, respectively. The primary and secondary voltages are 600 V and 400 V, respectively. The iron loss is 2.9 kW. Calculate the efficiency at half full load at a power factor of 0.8 lagging.
Solution:
Transformer rating, = 500 kVA
Primary resistance, R1 = 0.42 Ω
Secondary resistance, R2 = 0.0011 Ω
Primary voltage, E1 = 6600 V
Secondary voltage, E2 = 400 V
Iron losses, Pi = 2.9 kW
Fraction of the load, x =
= 0.5
Load p.f., cos ɸ = 0.8 lagging
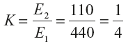
Transformation ratio,

Primary resistance referred to secondary, 
Total resistance referred to secondary, Res = R2 +
= 0.0011 + 0.00154 = 0.00264 Ω
Full-load secondary current, 
Copper losses at full load, Pc =
Res = (1250)2 × 0.00264
= 4125 W = 4.125 kW
Efficiency of transformer at any fraction (x) of the load,


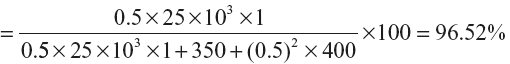
In a 25 kVA, 2000/200 V power transformer, the iron and full-load copper losses are 350 W and 400 W, respectively. Calculate the efficiency at unity power factor at (i) full load and (ii) half load.
Solution:

Where
cos ɸ = 1; Pi = 350 W; Pc = 400 W
- At full load x = 1∴

- At half-load; x = 0.5∴

Example 10.26
A 220/400 V, 10 kVA, 50 Hz, single-phase transformer has copper loss of 120 W at full load. If it has an efficiency of 98% at full load, unity power factor, determine the iron losses. What would be the efficiency of the transformer at half full load at 0.8 p.f. lagging?
Solution:


When
x = 1/2 and cos ɸ = 0.8

Example 10.27
The efficiency of a 400 kVA, single-phase transformer is 98.77% when delivering full load at 0.8 power factor and 99.13% at half load and unity power factor. Calculate (i) the iron loss (ii) the full-load copper loss.
Solution:
Efficiency of a transformer at any fraction x of the load

Case I: x = 1; cos ɸ = 0.8; ηx = 98.77%
∴

∴ or
Pi + Pc = 3.985 kW (10.5)
Case II: x = 0.5; cos ɸ = 1; ηx = 99.13
∴

or
Pi + 0.25 Pc = 1.755 kW (10.6)
Subtracting eq. (10.6) from (10.5), we get
0.75 Pc = 2.23 kW or Pc = 2.973kW
and
Pi = 3.985 − 2.973 = 1.012kW
Example 10.28
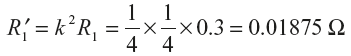
A 440/110 V transformer has an effective primary resistance of 0.3 Ω and a secondary resistance of 0.02 Ω. If iron loss on normal input voltage is 150 W, calculate the secondary current at which maximum efficiency will occur. What is the value of this maximum efficiency for unity power factor load?
Solution:
Primary resistance, R1 = 0.3 Ω
Secondary resistance, R2 = 0.02 Ω
Iron losses, Pi = 150 W
Load power factor, cos ɸ = 1
Primary induced voltage, E1 = 440 V
Secondary induced voltage, E2 = 110 V
Transformation ratio,

Primary resistance referred to secondary,

Equivalent resistance referred to secondary,
Res = R2 +
= 0.02 + 0.01875 = 0.03875 Ω
We know the condition for max, efficiency is
Copper losses = Iron losses, that is,
Res = Pi
Secondary current at which the efficiency is maximum,


Example 10.29
The efficiency of a 1000 kVA, 110/220 V, 50 Hz. Single-phase transformer is 98.5% at half load and 0.8 power factor leading and 98.9% at full-load unity power factor. Determine (i) iron loss and (ii) full-load copper loss.
(P.T.U. Dec. 2005)
Solution:
Here, Rating of transformer = 1000 kVA
We know,

- Where % η0.5 = 98.5; x = 0.5; p.f. = 0.8 leading∴
or
- When % ηfl = 98.8; x = 1; p.f. = 1
or
Subtracting eq. (10.7) from (10.8), we get 0.75 Pc = 6000 or Pc = 8000WFrom eq. (10.8), we get Pi = 12100 − 8000 = 4100W
Example 10.30
A 50 kVA transformer on full load has a copper loss of 600 and iron loss of 500 W. Calculate the maximum efficiency and the load at which it occurs.
Solution:

Efficiency will be maximum when Cu. loss = lron loss = 500 W
Fraction at which the efficiency is maximum, 
Load at which the efficiency is maximum, that is,
Output
= x × kVA = 0.9128 × 50 = 45.64 kVA
= 45.64 × 1 = 45.64 kW (since cos ɸ = 1)

Example 10.31
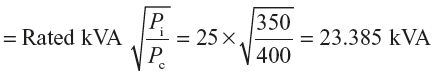
In a 25 kVA, 1100/400 V, single-phase transformer, the iron and copper losses at full load are 350 W and 400 W, respectively. Calculate the efficiency on unity power at half load.
Determine the load at which maximum efficiency occurs.
(May, 1984)
Solution:
Transformer rating = 25 kVA
Iron losses, Pi = 350 W
Full-load copper losses, Pc = 400 W
Load power factor cos ɸ = 1
Fraction of the load x =
= 0.5
Efficiency of transformer at any fraction of the load,


Output kVA corresponding to maximum efficiency

Output power or load on maximum efficiency.
= output kVA for max efficiency × p.f.
= 23.385 × 1 = 23.385kW
Example 10.32
A 100 kVA, 2 winding transformer has an iron loss of 1 kW and a cu loss on a normal output current of 1.5 kW. Calculate the kVA loading at which the efficiency is maximum and its efficiency at this loading: (i) at unit p.f. and (ii) at 8 p.f. lagging.
Solution:
Here, rated capacity = 100 kVA; Iron loss, Pi = 1 kW
Full-load Cu loss, Pc = 1.5 kW
Output kVA corresponding to maximum efficiency





Leave a Reply