The ratio of rotor output (i.e., mechanical power developed in rotor neglecting mechanical losses) to the rotor input is called the rotor efficiency.

Example 12.14
The power input to a three-phase induction motor is 80kW. The stator losses in total 1.5 kW. Find the total mechanical power developed if the motor is running with a slip of 4%.
Solution:
Stator output or rotor input = Stator input − stator losses = 80 − 1.5 = 78.5 kW
Rotor copper losses = S × Rotor input = 0.04 × 78.5 = 3.14 kW
Mechanical power developed = Rotor input − Rotor copper losses
= 78.5 − 3.14 = 75.36 kW
Example 12.15
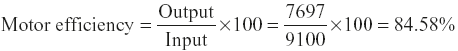
A 10H.P., four-pole, 25Hz, three-phase, wound rotor induction motor is taking 9100W from the line. Core loss is 290W, stator copper loss is 568W, rotor copper loss in 445W, friction and windage losses are 100W. Determine (i) power transferred across air gap, (ii) mechanical power in watt developed by rotor, (iii) mechanical power output in watt, (iv) efficiency, and (v) slip.
(P.T.U.)
Solution:
Power input to motor or stator = 9100 W
Power transferred across air gap = Stator input − Stator core loss − Stator copper loss
= 9100 − 290 − 568 = 8242 W
Mechanical power developed in rotor = rotor input − Rotor copper loss = 8242 − 445 = 7797
Rotor output = Mechanical power developed − Mechanical loss
= 7797 − 100 = 7697 W

Slip,

Example 12.16
The power input to the rotor of a 440 V, 50 Hz, three-phase, six-pole induction motor is 50 kW. The rotor emf makes 120 cycles per minutes. Friction and windage losses are 2 kW. Calculate (i) slip, (ii) rotor speed, (iii) rotor copper losses, (iv) mechanical power developed, (v) output power, and (vi) output torque.
Solution:
Here, VL = 440 V; P = 6; f = 50 Hz
Power input to rotor or rotor input = 50 kW
Friction and windage loss = 2 kW
- Synchronous speed,
Frequency of rotor emf,
Now,ƒr = S × fSlip,
- Rotor speed, N = NS × (1 − S) = 1000 × (1 − 0.04) = 960 rpm
- Rotor copper loss = S × Rotor input = 0.04 × 50 = 2 kW
- Mechanical power developed = Rotor input − rotor copper loss = 50 − 2 = 48 kW
- Output power = Mechanical power developed − friction and windage loss = 48 − 2 = 46 kW
- Output torque
= 457.57 Nm
A four-pole, three-ɸ induction motor runs at 1440 rpm. Supply voltage is 500 V at 50 Hz. Mechanical power output is 20.3 H.P. and mechanical loss is 2.23 H.P. Calculate (i) mechanical power developed, (ii) rotor copper loss, and (iii) efficiency.
(U.P.T.U. 2007–08)
Solution:
Here, P = 4; N = 1440 rpm; VL= 500 V; f = 50 Hz
Mechanical power output = 20.3 H.P. = 20.3 × 735.5 = 14931 W
Mechanical loss = 2.23 H.P. = 2.23 × 735.5 = 1640 W
- Mechanical power developed = Mechanical power output + mechanical loss = 14931 + 1640 = 16571 W
- Synchronous speed,
Slip,
Rotor copper loss

- Rotor input = mechanical power developed + Rotor copper loss = 16571 + 690 = 17261 WSince stator losses are not given, considering them to be equal to rotor copper loss, that is, Stator losses = rotor copper loss = 690 WPower input to the motor = Rotor input + stator loss = 17261 + 690 = 17951 WEfficiency,


Example 12.18
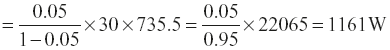
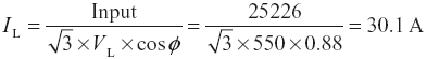
A six-pole, three-phase induction motor develops 30 H.P. including 2 H.P. mechanical losses at a speed of 950 rpm on 550 V 50 Hz mains. The power factor is 0.88 lagging. Calculate (i) slip, (ii) rotor copper loss, (iii) total input if stator losses are 2 kW, (iv) efficiency, and (v) line current.
(U.P.T.U. June 2001)
Solution:
Data given, P = 6; N = 950 rpm; VL = 550 V; f = 50 Hz
Mechanical power developed = 30 H.P.; mechanical loss = 2 H.P.
Stator loss = 2 kW
Synchronous speed,

- Slip,

- Rotor copper loss =


- Total input = Mechanical power developed + Rotor copper loss + stator loss = 22065 + 1161 + 2000 = 25226 W Output = Mechanical power developed − Mechanical loss = 30 − 2 = 28 H.P. = 28 × 735.5 = 20594 W
- Efficiency,

- Line current,

Example 12.19
A 400 V, six-pole, 50 Hz, three-phase induction motor develops 20 kW inclusive of mechanical losses when running at 980 rpm and the power factor being 0.85. Calculate (i) slip, (ii) rotor current frequency, (iii) total input if the stator loss is 1500 W, and (iv) line current.
(U.P.T.U. Tut)
Solution:
Synchronous speed of motor, 
- Slips,

- Rotor current frequency, ƒr = S × ƒ = 0.02 × 50 = 1 Hz Rotor output = 20 kW

- Power input to stator = Rotor input + stator losses = 20.408 + 1.5 = 21.908 kW
- Line current supplied to motor


Example 12.20
A 400V, six-pole, 50Hz, three-phase induction motor develops 20 H.P. inclusive of mechanical losses when running at 965 rpm, the power factor being 0.87 lagging. Calculate (i) the slip, (ii) rotor copper losses, (iii) the total input if the stator losses are 1500W, (iv) line current, and (v) the number of cycles made per minute by the rotor emf.
Solution:
Here,
VL = 400 V; P = 6; f = 50 Hz; N = 965 rpm
cos ɸ = 0 × 4 lag; stator copper loss = 1500 W
Synchronous speed,

- Slips,
Mechanical power developed = 20 H.P. = 20 × 735.5 = 14710 W - Rotor copper losses =
mechanical power developed
- Input to stator = mechanical power developed + rotor copper loss + stator copper loss = 14710 + 533.5 + 1500 = 16743.5 W
- Line current,
Rotor frequency, ƒr= S × f = 0.035 × 50 = 1.75 Hz or c/s - No. of cycles made per minute by rotor emf = 1.75 × 60 = 105 cycle/min.
Example 12.21
A four-pole, three-phase, 50Hz induction motor supplies a useful torque of 159 Newton metre. Calculate at 4% slip: (i) the rotor input, (ii) motor input, (iii) motor efficiency, if the friction and windage losses are totally 500W and stator losses are 1000 W.
(P.T.U.)
Solution:
No. of poles, P = 4; frequency f = 50 Hz
Torque at shaft, Tm = 159 Nm; slip, S = 4% = 0.04
Mechanical losses = 500 W; stator losses = 1000 W
Synchronous speed, 
Rotor speed,
N = Ns × (1 − S) = 1500 × (1 − 0.04) = 1440 rpm.
Angular speed, ![]()
Rotor output

Mechanical power developed in rotor = Rotor output + Mechanical losses = 23977 + 500 = 24477 W
Rotor Cu loss =
Mechanical power developed = ![]()
- ∴ Rotor input = Mechanical power developed + Rotor Cu loss = 24477 + 1020 = 25497 W
- Motor input = Rotor input + Stator losses = 25497 + 1000 = 26497 W
- Motor efficiency,

Example 12.22
A three-phase induction motor has an efficiency of 90% and runs at a speed of 480 rpm. The motor is supplied from 400V mains and it takes a current of 75A at 0.77 p.f. Calculate the bhp (metric) of the motor and pull on the belt when driving the line shaft through pulley of 0.75 m diameter.
Solution:
Supply voltage, VL = 400 V; rotor speed, N = 480 rpm
Motor efficiency, η = 90% = 0.9; Current drawn from mains, IL = 75 A
Motor p.f.,
cosɸ = 0.77lag . Diameter of pulley, d = 0.75 m
Radius of pulley

Input power = ![]()
Output power = Input power × η = 40010 × 0.9 = 36009 W
Bhp of the motor = ![]()
Angular speed, ![]()
Torque at the shaft, ![]()
Now, torque, Tm = Pull on the belt × radius of pulley
∴ Pull on the belt =

Leave a Reply