Volume, and hence weight of copper (or aluminium), is proportional to the length and area of X-section of the conductor. The length of conductor is proportional to number of turns, whereas area of X-section is proportional to the current flowing through it. Hence, the weight of copper is proportional to the product of current and number of turns.
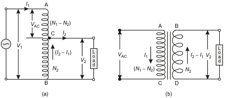
Now, with reference to Figure 10.38(a), weight of copper required in an autotransformer.
Wta = weight of Cu in section AC + weight of Cu in section CB
∴
Wta ∞ I1 (N1 − N2) + (I2 − I1) N2 ∞ I1N1 + I2N2 − 2I1N2

Fig. 10.38 (a) Electric circuit of an auto-transformer (b) Equivalent circuit
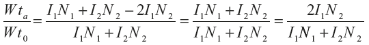
If an ordinary two-winding transformer is to perform the same duty, then with reference to Figure 10.38(b). Total weight of copper required in the ordinary transformer.
Wt0 = weight of Cu on its primary + weight of Cu on its secondary.
∴
Wt0 ∞ I1N1+I2N2
Now, the ratio of weight of copper in autotransformer to the weight of copper in an ordinary transformer,


or
Wta = (1 – K) Wt0
Saving of copper affected by using an autotransformer
= wt. of cu required in an ordinary transformer – wt. of copper required in an autotransformer.
= Wt0 – Wta = Wt0 – (1 – K) Wt0 = K × Wt0
∴ Saving = K × Wt. of copper required for two-winding transformer
Hence, saving in copper increases as the transformation ratio approaches to unity, therefore, autotransformers are used when K in nearly equal to unity.

Leave a Reply