When a transformer is loaded, with a constant supply voltage, the terminal voltage changes due to voltage drop in the internal parameters of the transformer, that is, primary and secondary resistances and inductive reactances. The internal voltage drop also depends upon the load and its power factor. The algebraic difference between the no-load and full-load terminal voltage is measured in terms of voltage regulation.
At a constant supply voltage, the change in secondary terminal voltage from no-load to full load with respect to no-load voltage is called voltage regulation of the transformer.
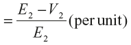
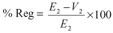
Let, E2 = Secondary terminal voltage at no-load.
V2 = Secondary terminal voltage at full load.
Then, voltage regulation

In the form of percentage,

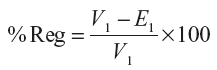
When all the quantities are referred to the primary side of the transformer


Leave a Reply