When sinusoidal voltage is applied to the primary winding of a transformer, a sinusoidal flux, as shown in Figure 10.12 is set up in the iron core which links with primary and secondary winding.

Let ɸm = Maximum value of flux in Wb

= supply frequency in Hz (or c/s)

N1 = No. of turns in primary

N2 = No. of turns in secondary

As shown in Figure 10.19, flux changes from +ɸm to −ɸm in half cycle, that is, img second,

Average rate of change of flux

img

Now, the rate of change of flux per turn is the average induced emf per turn in volt.

∴ Average emf induced per turn = 4f ɸm \volt

For a sinusoidal wave,

img
img

Fig. 10.12  Wave diagram of mutual flux set-up in magnetic core

∴ RMS value of emf induced/turn, = 1.11 × 4f ɸm = 4.44f ɸm volt

Since primary and secondary have Nand N2 turns, respectively.

∴ RMS value of emf induced in primary,

 

E1 = (emf induced/turn) × No. of primary turns

= 4.44N1f ɸm volt        (10.1)

Similarly, rms value of emf induced in secondary,

E2 = 4.44N2f ɸm volt        (10.2)

From eq. (10.1), we get,

img

From eq. (10.1), we get,

img

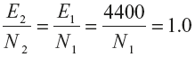
Equations (10.3) and (10.4) clearly show that emf induced per turn on both the sides, that is, primary and secondary is the same.

Again, we can find the voltage ratio,

img

Equations (10.1) and (10.2) can be written in the form of maximum flux density Bm using relation,

 

ɸm = Bm ×Ai (where Ai is iron area)

 

E1 = 4.44 N1f BmAi volts and E2 = 4.44 N2f BmAi volt

Example 10.1

The emf per turn for a single-phase 2310/220 V, 50 Hz transformer is approximately 13 volt. Calculate the number of primary and secondary turns.

(P.T.U. Dec. 2009)

Solution:

Here,

img

∴ Primary turns,

img

Secondary turns,

img

Example 10.2

A power transformer has 1000 primary turns and 100 secondary turns. The cross-sectional area of the core is 6 sq cm and the maximum flux density while in operation is 10,000 Gauss. Calculate turns per volt for the primary and secondary windings.

(P.T.U. Dec. 2008)

Solution:

Here,

 

N1 = 1000; N= 100; Ai = 6 cm= 6 × 10−4m2

Bm = 10000 gauss = 10000 × 10−8 × 104 = 1 tesla

We know, E= 4.44 × N1 × f × Bm × Ai = 4.44 × 1000 × 50 × 1 × 6 × 10−4 = 133.2 V

E2 = 4.44 × N2 × × Bm × Ai = 4.44 × 100 × 50 × 1 × 6 × 10−4 = 13.32 V

On primary side, number of turns/volt = img

On secondary side, number of turns/volt = img

The number of turns per volt or voltage per turn on primary and secondary remains the same.

Example 10.3

A 25 kVA transformer has 500 turns on the primary and 40 turns on the secondary winding. The primary is connected to 3000 V, 50 Hz mains, calculate (i) primary and secondary currents at full load, (ii) the secondary emf, and (iii) the maximum flux in the core. Neglect magnetic leakage, resistance of the winding and the primary no-load current in relation to the full-load current.

Solution:

  1. At full load, imgNow,imgSecondary current,img
  2. Secondary emf. img
  3. Using relation, E1 = 4.44 × N1 × f × ɸm3300 = 4.44 × 500 × 50xɸmorimg

Example 10.4

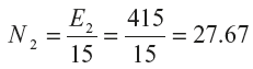
The design requirements of an 11000/415 V, 50 Hz single-phase core type transformer are approximate emf/turn 15 V, maximum flux density 1.5 T. Find suitable number of primary and secondary turns and net cross-sectional area of core.

Solution:

Here,

E1 = 11000 V; E= 415 V; = 50 Hz; Bm = 1.5 T

img

No. of primary turns,

img

No. of secondary turns,

img

Now,

 

E= 4.44 N1 × f´ × Ai × Bm

img

∴ Net area,

img

Example 10.5

A single phase 50 Hz core-type transformer has rectangular cores 30 × 20 cm and the maximum allowable density is 1.05 Wb/sq. m. Find the number of turns per limb on the high- and low- voltage sides for a voltage ratio of 3300/200 V. Take iron factor as 0.93.

Solution:

Gross cross-sectional area = 30 × 20 = 600 cm2

 

Agc = 600 × 10−4 m2

The iron factor is to be taken into consideration as the laminations are insulated from each other and

img

Ai = Ki × Agc

= 0.93 × 600 × 10−4 = 558 × 10−4 m2

EMF induced/turn

 

= 4.44 × × Bmax × Ai

= 4.44 × 50 × 1.05 × 558 × 10−4 = 13 V

Primary turns

img

Secondary turns

img

Example 10.6

The secondary of a 500 kVA, 4400/500 V, 50 Hz, single-phase transformer has 500 turns. Determine (i) emf per turn, (ii) primary turns, (iii) secondary full-load current, (iv) maximum flux, (v) gross cross-sectional area of the core for flux density of 1.2 tesla and iron factor is 0.92, and (vi) if the core is of square cross-section finds the width of the limb.

Solution:

Here, Rating = 500 kVA; EV= 4400 V; EV= 500 V

 

= 50 Hz; N= 500; Bm = 1.2 T; ki = 0.92

  1. emf per turn = img
  2. emf per turn = img∴ Primary turns,img
  3. Secondary full-load current, img
  4. Maximum flux, img
  5. Iron area of the core, imgGross area of the core, img
  6. Width of squared limb = img

Example 10.7

A 100 kVA, 3300/200 V, 50 Hz single-phase transformer has 40 turns on the secondary, calculate (i) the values of primary and secondary currents, (ii) the number of primary turns, and (iii) the maximum value of the flux. If the transformer is to be used on a 25 Hz system, calculate (iv) the primary voltage, assuming that the flux is increased by 10 per cent and (v) the kVA rating of the transformer assuming the current density in the windings to be unaltered.

Solution:

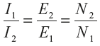
  1. Full-load primary current, imgFull-load secondary current, img
  2. No. of primary turns, img
  3. We know, E2 =4.44 × f × ɸmax × N2V200 = 4.44 × 50 × ɸmax ×40∴img
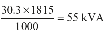
  4. As the flux is increased by 10% at 25 Hz∴Flux at 25 Hz, img = 0.0225 × 1.1 = 0.02475 Wb∴Primary voltage = 4.44 × N1 × f´ ×img volt= 4.44 × 660 × 25 × 0.02475 = 1815 
  5. For the same current density, the full-load primary and secondary currents remain unaltered.∴ kVA rating of the transformer = img

Comments

Leave a Reply

Your email address will not be published. Required fields are marked *