FREQUENCY OF ROTOR CURRENTS

The frequency of rotor currents depends upon the relative speed between rotor and stator field. When the rotor is stationary, the frequency of rotor currents is the same as that of the supply frequency. But once the rotor starts to rotate, the frequency of rotor currents depends upon slip speed (Ns N). Let at any speed N, the frequency of rotor currents be fr.

Then,

image

Example 12.1

A three-phase, four-pole, 50 Hz, induction motor runs at 1460 rpm. Determine its percentage slip.

(U.P.T.U. June 2004)

Solution:

Synchronous speed,

image

Speed of motor,

 

= 1460 rpm

Slip,

image

= 2.667%

Example 12.2

In a three-phase slip-ring, four-pole induction motor, the rotor frequency is found to be 2.0 Hz, while connected to a 400 V, three-phase, 50 Hz supply. Determine motor speed in rpm.

(U.P.T.U. Dec. 2003)

Solution:

Synchronous speed,

image

Slip,

image

Speed of motor on load, NS (1 − S) = 1500 (1 − 0.04) = 1440 rpm

Example 12.3

A three-phase, four-pole induction motor is supplied from three-phase, 50 Hz AC supply. Calculate (i) synchronous speed, (ii) rotor speed when slip is 4%, and (iii) rotor frequency when rotor runs at 600 rpm.

(U.P.T.U. 2005–06)

Solution:

Here, = 4; = 50 Hz; = 4% = 0.04

  1. Synchronous speed, image
  2. Rotor speed, NS × (1 − S) = 1500 × (1 − 0.04) = 1440 rpm
  3. When rotor speed is 600 rpm

Slip,

image

Rotor frequency,

 

fr = × f = 0.6 × 50 = 30Hz

Example 12.4

A three-phase slip-ring, four-pole induction motor has rotor frequency 2.0 Hz while connected to 400 V, three-phase, 50 Hz supply. Determine slip and rotor speed.

(U.P.T.U. 2006–07)

Solution:

No. of poles, = 4

Supply frequency, = 50 Hz

Rotor frequency, ƒr = 2 Hz

Now,

image

Synchronous speed,

image

Rotor speed,

 

NS × (1 − S) = 1500 × (1 − 0.04) = 1440 rpm

Example 12.5

A three-phase, four-pole induction motor operates from a supply whose frequency is 50 Hz. Calculate its synchronous speed, speed of rotor when slip is 0.04 and frequency of rotor currents at standstill.

(U.P.T.U. 2004–05)

Solution:

Synchronous speed,

image

Speed of rotor when the slip is 0.04

 

= (1 − S) × Ns= (1 − 0.04) × 1500 = 1440 rpm

Frequency of rotor currents at standstill

At standstill = = 1 and = 0

 

Frequency of rotor current ƒr = S × f = 1 × 50 = 50Hz

Example 12.6

A 12-pole, three-phase alternator driven at a speed of 500 rpm supplies power to an eight-pole, three-phase induction motor. If the slip of the motor is 0.03 pu, then calculate the speed.

(U.P.T.U. July 2002)

Solution:

No. of poles of the alternator, Pa= 12

Speed of alternator, Na= 500 rpm

No. of poles of the induction motor, Pm= 8; slip = 0.03 pu

Supply frequency delivered by the alternator, image

Synchronous speed of three-phase induction motor, image

Speed of three-phase induction motor, NS × (1 − S) = 750 × (1 − 0.03) = 727.5 rpm

Example 12.7

A 12-pole, three-phase alternator is coupled to an engine running at 500 rpm. It supplied a three-phase induction motor having a full-load speed of 1440 rpm. Find the percentage slip, frequency of rotor current and number of poles of the motor.

(U.P.T.U. 2005–06)

Solution:

No. of poles of three-phase alternator, Pa= 12

Speed of engine, NS(a) = 500 rpm

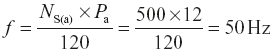
Frequency of generated voltage,

image

For three-phase induction motor,

Synchronous speed,

image

NS in nearly equal to N

image

But poles are always even in number

 

Pm= 4

∴ Synchronous speed,

image

Slip

image

Frequency of rotor current, fr = S × = 0.04 × 50 = 2Hz

Example 12.8

A motor-generator set used for providing variable frequency AC supply consists of a three-phase, 10-pole synchronous motor and a 24-pole, three-phase synchronous generator. The motor- generator set is fed from a 25 Hz, three-phase AC supply. A six-pole, three-phase induction motor is electrically connected to the terminals of the synchronous generator and runs at a slip of 5%. Determine (i) the frequency of the generated voltage of the synchronous generator, (ii) the speed at which the induction motor is running.

(U.P.T.U. Feb. 2001)

Solution:

Given, No. of poles of synchronous motor, Psm= 10

No. of poles of synchronous generator, Psg = 24

No. of poles of induction motor, Pim = 6

Supply frequency, f = 25 Hz

Slip of induction motor, = 5% = 0.05

Speed of synchronous motor, image

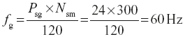
Frequency of emf generated by synchronous generator,

image

Synchronous speed of the induction motor (revolution field),

image

Running speed of the induction motor,

 

Ns × (1 − S) = 1200 × (1 − 0.05) = 1140 rpm


Comments

Leave a Reply

Your email address will not be published. Required fields are marked *