ROTOR CURRENT AND POWER FACTOR

The rotor circuit diagram of an induction motor is shown in Figure 12.12.

image

Fig. 12.12  Rotor circuit of an induction motor as per its parameters

Under running condition

Rotor-induced emf = E2 = × E2s

Rotor impedance,

image
image

Rotor current,

image
image

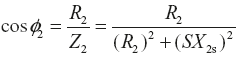
Rotor power factor,

image

Comments

Leave a Reply

Your email address will not be published. Required fields are marked *