TRANSFORMER ON LOAD

When a certain load is connected across the secondary, a current Iflows through it as shown in Figure 10.16. The magnitude of current Idepends upon terminal voltage Vand impedance of the load. The phase angle of secondary current Iwith respect to Vdepends upon the nature of load, that is, whether the load is resistive, inductive, or capacitive.

(Neglecting winding resistance and leakage flux)

When a certain load is connected across the secondary, a current Iflows through it as shown in Figure 10.16. The magnitude of current Idepends upon terminal voltage Vand impedance of the load. The phase angle of secondary current Iwith respect to Vdepends upon the nature of load, that is, whether the load is resistive, inductive, or capacitive.

img

Fig. 10.16  Transformer on load

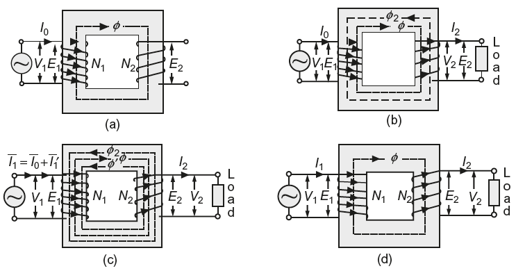
The operation of the transformer on load is explained below with the help of number of diagrams:

  1. When the transformer is on no-load as shown in Figure 10.17(a), it draws no-load current Ifrom the supply mains. The no-load current Iproduces an mmf. N1Iwhich sets up flux in the core.
  2. When the transformer is loaded, current Iflows in the secondary winding. This secondary current I2 produces an mmf N2Iwhich sets up flux ɸ2 in the core. This flux opposes the flux which is set up by the current Ias shown in Figure 10.17(b), according to Lenz’s law.
  3. Since ɸ2 opposes the flux, and therefore, the resultant flux tends to decrease and causes the reduction of self-induced emf Emomentarily. Thus, Vpredominates over Ecausing additional primary current img drawn from the supply mains. The amount of this additional current is such that the original conditions, that is, flux in the core must be restored to original value ɸ, so that VE1. The current Iis in phase opposition with I2 and is called primary counterbalancing current. This additional current img produces an mmf N1img which sets up flux, ɸ, in the same direction as that of ɸ as shown in Figure 10.17(c) and cancels the flux ɸ2 set up by mmf N2I2.Now, N1img = N2I2 (ampere-turns balance)∴img
  4. Thus, the flux is restored to its original value as shown in Figure 10.17(d). The total primary current I1 is the vector sum of current Iand I′, that is, I1 = I0img.

This shows that flux in the core of a transformer remains the same from no-load to full load; this is the reason why iron losses in a transformer remain the same from no-load to full load

img

Fig. 10.17  (a), (b), (c) and (d) : Effect on the magnetic flux set-up in the core when transformer is loaded

10.10  PHASOR DIAGRAM OF A LOADED TRANSFORMER

(Neglecting voltage drops in the winding; ampere-turns balance)

Since the voltage drops in both the windings of the transformer are neglected,

 

V1 = E1 and E2 = V2

While drawing the phasor diagram, the following important points are to be considered.

  1. For simplicity, let the transformation ratio = l be considered, and therefore, E2 E1.
  2. The secondary current I2 is in phase, lags behind, and leads the secondary terminal voltage Vby an angle ɸ2 for resistive, inductive, and capacitive load, respectively.
  3. The counterbalancing current img(i.e., img = KI2 here K = 1 ∴ img = I2) and is 180° out of phase with I2.
  4. The total primary current I1 is the vector sum of no-load primary current Iand counter balancing current imgThat is,imgWhere θ is the phase angle between I0 and img
  5. The p.f. on the primary side is cos ɸ1 which is less than the load p.f. cos ɸ2 on the secondary side. Its value is determined by the relation. img
img

Fig. 10.18  Phasor diagram (a) for resistive load (b) for inductive load (c) for capacitive load

The phasor diagrams of the transformer for resistance, inductive, and capacitive loads are shown in Figure 10.18(a), (b), and (c), respectively.

Alternately,

The primary current I1 can also be determined by resolving the vectors, that is,

 

Iv = I0 cos ɸ0 + img cosɸ2 [where sin ɸ0 = sincos−1(cos ɸ0)

IH = I0 sin ɸ0 + img sin ɸand sin ɸ2 = sincos−1(cos ɸ2)]

img

Example 10.12

A single-phase transformer with a ratio of 440/110 V takes a no-load current of 5 A at 0.2 p.f. lagging. If the secondary supplies a current of 120 A at p.f. of 0.8 lagging, calculate the primary current and p.f.

Solution:

Transformation ratio, img

Let the primary counterbalancing current be img

Then,

img = KI2 = 0.25 × 120 =30A

Now,

 

cos ɸ0 = 0.2; ɸ0 = cos−10.2 = 78.46°

cos ɸ2 = 0.8; ɸ2 = cos−10.8 = 36.87°

θ = ɸ0 − ɸ2 = 78.46° − 36.87° = 41.59°

img
img

Primary p.f.,

img

= 0.7375 lag

Example 10.13

A single-phase transformer with a ratio of 6600/400 V (primary to secondary voltage) takes to no-load current of 0.7 A at 0.24 power factor lagging. If the secondary winding supplies a current of 120 A at a power factor of 0.8 lagging. Estimate the current drawn by the primary winding.

Solution:

Here,

 

I0 = 0.7 A; cos ɸ0 = 0.24 lag; I2 = 120 A; cos ɸ2 = 0.8 lag

Transformation ratio,

img

Let the primary counterbalance current be I1.

N1img = N2I2

or

img

Now,

 

cos ɸ0 = 0.24; ɸ0 = cos−10.24 = 76.11°

cos ɸ2 = 0.8; ɸ2 = cos−10.8 = 36.87°

Angle between vector Iand I(Figure 10.14(b))

 

θ = 76.11° − 36.87° = 39.24°

Current drawn by the primary,

img
img

Comments

Leave a Reply

Your email address will not be published. Required fields are marked *